ELI5: Explain Like I'm 5

Tree (data structure)

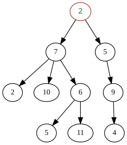
A tree is like a tree in the real world. It has a trunk and branches, and those branches can have their own branches, which can have their own branches and so on. In a tree data structure, the trunk is the root node, and the branches are other nodes that are connected to the root. The nodes all contain some data, which can either hold something on its own or can help identify where the other nodes are. Trees are useful for making data structures because it allows us to quickly look up information. For example, if you are looking for a certain type of car, you can search through a tree quickly to find the car you are looking for.